Abstract
Background:
We have long introduced the concept of host genetic variations in the phenotypic diversity of myeloproliferative neoplasms (MPN) (Blood 2008;111:2785). Previous studies have established an association between JAK2 mutations in myeloproliferative neoplasms (MPN) and the germline GGCC (46/1) haplotype, which constitutes a string of single nucleotide polymorphisms (SNPs) near the JAK2 gene that are inherited together on chromosome 9p (reviewed recently;Int J Mol Sci. 2018; 19: 1152). In 2010, we reported an association between shortened survival in primary myelofibrosis (PMF) and nullizygosity for the JAK2 46/1 haplotype (Leukemia 2010; 24:105), although our findings were not confirmed in another study (Leukemia 2010; 24:1533). Others have reported an association with splanchnic vein thrombosis, that was not accounted for by JAK2 mutations (Ann Hematol 2014;93:1845). In the current study, we have increased the number of informative cases to 414 (from 130 reported in 2010), in order to revisit with the phenotypic and prognostic relevance of the JAK2 46/1 haplotype in PMF.
Methods:
Study patients were recruited from the Mayo Clinic, Rochester, MN, USA. Diagnoses PMF and its leukemic transformation were confirmed by both clinical and bone marrow examinations, in line with the 2016 World Health Organization criteria (Blood. 2016;127:2391). Screening for the JAK2 46/1 haplotype included rs12343867 SNP genotyping, as previously detailed (Leukemia 2010; 24:105), and using a commercially available TaqMan SNP genotyping assay (Applied Biosystems Inc., Foster City, CA, USA). Statistical analyses considered clinical and laboratory data collected at the time of initial PMF diagnosis or Mayo Clinic referral point. Conventional statistics was used for confirming phenotypic associations and calculation of overall (OS) and leukemia-free (LFS) survival. The JMP® Pro 13.0.0 software from SAS Institute, Cary, NC, USA, was used for all calculations.
Results:
414 patients with PMF (median age 63 years; 63% males) were included in the current study; among 324 evaluable cases, MIPSS70+ version 2.0 risk distribution was 18% very high risk, 41% high risk, 19% intermediate risk, 18% low risk and 4% very low risk. Driver mutation distribution was 63% JAK2, 17% type 1-like CALR, 3% type 2-like CALR, 7% MPL and 10% triple-negative. JAK2 46/1 haplotype was documented in 69% of the study patients, including 25% in homozygous and 44% in heterozygous state. Driver mutation frequency in patients homozygous/heterozygous/nullizygous for the 46/1 haplotype was 78%/60%/56% JAK2, 10%/20%/18% type 1-like CALR, 3%/2%/5% type 2-like CALR, 4%/8%/7% MPL and 6%/10%/14% triple-negative (p=0.02). The three 46/1 haplotype groups were phenotypically mostly similar, with the exception of platelet count (p=0.02) and leukocyte count (p=0.003), which were both higher with homozygous 46/1 haplotype.
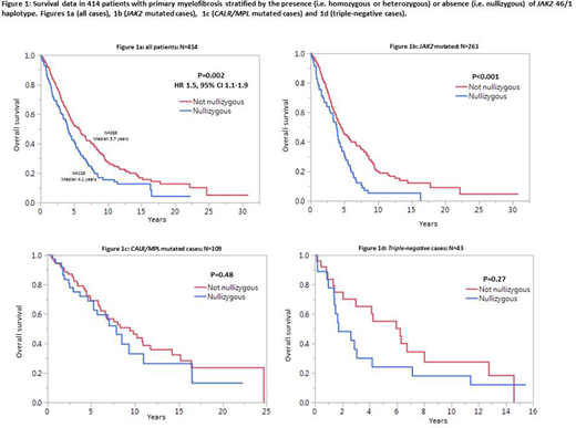
In univariate analysis, nullizygosity for the JAK2 46/1 haplotype was associated with inferior overall survival (HR 1.5, 95% CI 1.1-1.9; figure 1a); this survival effect was most pronounced in JAK2 mutated cases (figure 1b; p<0.001), as opposed to CALR/MPL mutated cases (figure 1c; p=0.48) or triple-negative cases (figure 1d; p=0.27). Multivariable analysis that included age and other genetic risk factors, including karyotype, driver mutational status and presence of high molecular risk mutations, such as ASXL1 and SRSF2, confirmed the independent prognostic contribution of nullizygosity for the 46/1 haplotype (p=0.02; HR 1.4, 95% CI 1.1-1.8). Nullizygosity for 46/1 also remained significant in the context of the recently unveiled genetics-based prognostic model, GIPSS (genetically-inspired prognostic scoring system) (p=0.04) (Leukemia.2018 doi: 10.1038/s41375-018-0107-z), but not in the context of MIPSS70+ version 2.0 (karyotype and mutation-enhanced international prognostic scoring system for transplant-age patients) (p=0.4). (JClinOncol.2018 doi: 10.1200/JCO.2018.78.9867). Leukemia-free survival was not affected by the 46/1 haplotype (p=0.6).
Conclusions:
The current study confirms the association of nullizygosity for the JAK2 GGCC (46/1) haplotype with inferior survival in PMF, primarily in JAK2-mutated cases; the observed survival effect was independent of currently acknowledged genetic risk factors, including karyotype and high molecular risk mutations.
No relevant conflicts of interest to declare.
Author notes
Asterisk with author names denotes non-ASH members.

This feature is available to Subscribers Only
Sign In or Create an Account Close Modal